公害防止管理者の過去問|令和3年 ばいじん・粉じん特論 問3 問題と解説

  • URLをコピーしました!

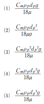
問題3

重力集じんにおける粒子の移動速度を表す式として、正しいものはどれか。

なお、Cmはカニンガムの補正係数(-)、ρpは粒子密度(kg/m3)、dpは粒子径(m)、gは重力加速度(m/s2)、μはガスの粘度(Pa・s)である。

問題3の解答

正解は「4」です。

問題3の解説

重力式の集じん装置(粒子が重力で沈降する場合)における粒子の移動速度、すなわち終末沈降速度はストークスの法則で与えられます。その式は以下の通りです。

ここで、Cmはカニンガム補正係数(微小粒子用の補正無次元数)、ρpは粒子密度、dpは粒子径、gは重力加速度、μは気体(流体)の粘度です。選択肢(4)がこの式に一致します。なお、上式はストークスの沈降速度式とも呼ばれ、粒子のレイノルズ数が十分小さい(層流抵抗の範囲内)場合に適用できます。カニンガム補正係数Cmは、粒径が微小で分子流の影響が無視できない場合に終末速度を補正する要素です。

他の選択肢の検討:
(1)は粒径dpが1次のべきでしか効いておらず誤りです。
(2) は重力加速度gが分母にあり逆維持になっています。
(3) は粒子密度ρpが2乗になっており間違いです。
(5) は粒径dpが3乗になっており誤り。

問題を解くポイント

ストークスの法則による終末沈降速度の公式を正確に覚えることが大切です。ポイントは速度∝粒子径の2乗であること、そして密度差(ここでは粒子密度で近似)と重力加速度に比例し、粘度に反比例する形です。微小粒子ではカニンガム補正係数で補正することも押さえておけば、選択肢から正しい式(4)を選べます。

公害防止管理者の過去問|令和3年 ばいじん・粉じん特論 問3 問題と解説

この記事が気に入ったら
フォローしてね!

よかったらシェアしてね!
  • URLをコピーしました!
  • URLをコピーしました!

本記事の監修者

ISEED編集部は、環境技術、環境倫理、環境に関する資格について読者に有益な情報を調査・配信しています。記事制作においてリサーチ、構成、ライティング、編集、グロースハックの仕組みを適切に設計することで読者にわかりやすい文章を作ることを心がけています。

コメント

コメントする